A Practical Introduction to Finite State Machines

Jan 29, 2020

A finite state machine is a fancy way to describe a very simple design pattern: there is a list of valid states, and a list of allowed transitions between states.

For example, JavaScript promises are state machines. A promise can be in one of 3 states:

  1. Pending
  2. Fulfilled
  3. Rejected

There are only two allowed state transitions: pending to fulfilled, and pending to rejected. Once a promise is fulfilled, it stays fulfilled forever. You can represent this state machine using the below state machine diagram.

A state machine diagram usually represents states using circles or squares, and transitions using lines or arrows.

A Basic Use Case With Mongoose

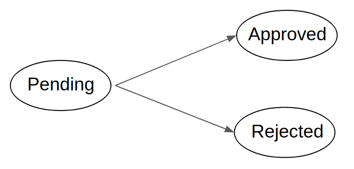
Suppose you're building an app for moderating blog post comments. Moderating comments can be represented by a state machine similar to the one for promises. A comment can be in one of 3 states:

  1. Pending
  2. Approved
  3. Rejected

You only want to display approved comments on your blog. But an admin should have an easy way to load all pending comments. Here's how you might represent this using a Mongoose schema:

const schema = mongoose.Schema({
  state: {
    type: String,
    enum: ['Pending', 'Approved', 'Rejected'],
    required: true,
    default: 'Pending'
  },
  authorId: mongoose.ObjectId,
  comment: String
});

const Comment = mongoose.model('Comment', schema);

Loading all pending or all approved comments is easy using Mongoose's find() function:

const pending = await Comment.find({ state: 'Pending' });

Here's how the state machine diagram looks:

As the developer, you're responsible for ensuring these state transitions are respected. For example, you could expose 2 Express endpoints: one for approving a comment, and one for rejecting a comment.

app.put('/comment/:id/approve', async function(req, res) {
  const comment = await Comment.findById(req.params.id);
  if (comment.state !== 'Pending') {
    return res.send(400).json({ message: 'Comment is not pending' });
  }
  comment.state = 'Approved';
  await comment.save();
  res.json({ ok: 1 });
});

app.put('/comment/:id/reject', async function(req, res) {
  const comment = await Comment.findById(req.params.id);
  if (comment.state !== 'Pending') {
    return res.send(400).json({ message: 'Comment is not pending' });
  }
  comment.state = 'Rejected';
  await comment.save();
  res.json({ ok: 1 });
});

Did you find this tutorial useful? Say thanks by starring our repo on GitHub!

More Fundamentals Tutorials